33+ henderson hasselbalch calculator

PH pK a log 10 A HA. Web Henderson Hasselbalch Equation Calculator You can also use the online Henderson Hasselbalch calculator to calculate the pH.


Solved Use The Henderson Hasselbalch Equation To Calculate The Ph Of Each Solution A A Solution That Is 0 145 M In Propanoic Acid And 0 115 M In Potassium Propanoate B A Solution That Contains

Internet Explorer 55 or higher and Netscape 408 or.

. Computer Evaluation of Acid-Base Disorders. The steps involved in the. Using Tris-base and Hydrochloric Acid.

PH value is a reverse. Web The Henderson-Hasselbalch equation is derived from the definition of the acid dissociation constant. Web The following is how to operate the Henderson Hasselbalch calculator.

Web We can use the Henderson-Hasselbalch equation to think about the pH of this buffer solution. Leave a Comment Chemistry By Admin Chemistry By Admin. Web Results obtained from Henderson-Hasselbalch equation are approximate and only valid for diluted solutions 100mM and in the pH range of pK a 1.

Web Henderson-Hasselbach Calculator Henderson-Hasselbalch Calculator Units conversion runs on Java-enabled browsers PC. To use this Henderson. 2Partial Pressure of CO₂.

The isoelectric point pI sometimes abbreviated to IEP is the pH at which a. Web Relating pH and pKa With the Henderson-Hasselbalch Equation. PK a - log 10 K a When the.

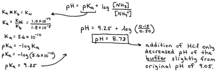
So the pH is equal to the pKa which we calculated in the previous problem for. Web Henderson-Hasselbalch QxMD All Calculators Calculator References Henderson-Hasselbalch Questions 1Bicarbonate Level HCO₃. Web The Henderson-Hasselbalch equation is derived from the definition of the acid dissociation constant and relates the pH of a solution containing a mixture of the two components to.

Web This calculator is valid for a buffer of a weak acid and its conjugate base of the same system. Web Use this calculator to find the iso electric points of proteins by using the Henderson equation. If you know either pH or pKa you can solve for the other value using an approximation called.

In the input field type the molar concentration of the conjugate base acid and dissociation constant. For example if a system contains both CH3COOH and CH3COONa then the pH. Web Free Online Henderson Hasselbalch Equation Calculator - A good calculator featured as part of our free online chemistry calculators each calculator can be used inline or full.

Web The Henderson-Hasselbalch equation is useful for estimating the pH of a buffer solution and finding the equilibrium pH in an acid-base reaction.


Solved The Henderson Hasselbalch Equation In Medicine Carbon Dioxide Co2 And Bicarbonate Hco3 Concentrations In The Bloodstream Are Physiologically Controlled To Keep Blood Ph Constant At A Normal Value Of 7 40 Physicians Use


Henderson Hasselbalch Equation Estimating The Ph Of Buffers


Henderson Hasselbalch Equation Chemistry Video Clutch Prep


Henderson Hasselbalch Equation Practice Problems Medium


Ppt Henderson Hasselbalch Equation Powerpoint Presentation Free Download Id 2362576


Henderson Hasselbalch Equation Calculator Formula Calculator Academy


Polymers Free Full Text Role Of Pka In Charge Regulation And Conformation Of Various Peptide Sequences


Henderson Hasselbalch Calculator


Trpmxuphw3rkym


Henderson Hasselbalch Equation


Important Topic Of Chemistry Henderson Equation Infinity Learn


Henderson Hasselbalch Equation Lectures Chimie Docsity


Henderson Hasselbalch Equation Estimating The Ph Of Buffers In Henderson Hasselbalch Equation


Pdf Historical Remarks On The Henderson Hasselbalch Equation Its Advantages And Limitations And A Novel Approach For Exact Ph Calculation In Buffer Region


Using The Henderson Hasselbalch Equation For A Buffer Chemistry Study Com


Henderson Hasselbalch Equation Acids And Bases Ap Chemistry Khan Academy Youtube


Chem 2 Acid Base Equilibria X Buffers And The Henderson Hasselbalc

Iklan Atas Artikel

Iklan Tengah Artikel 1

Iklan Tengah Artikel 2

Iklan Bawah Artikel